• <tr id="ii00i"></tr>
  • <nav id="ii00i"><sup id="ii00i"></sup></nav>
  • <nav id="ii00i"></nav>
  • <tfoot id="ii00i"><noscript id="ii00i"></noscript></tfoot>
    <tfoot id="ii00i"><noscript id="ii00i"></noscript></tfoot>
  • <tfoot id="ii00i"><noscript id="ii00i"></noscript></tfoot>
    天天成人综合网,亚洲人妻资源网,欧美精品网,国产黑丝袜在线观看视频,蜜桃av一卡二卡三卡,激情综合图区,亚洲avav,亚洲av电影天堂网

    您好!歡迎光臨烜芯微科技品牌官網!

    深圳市烜芯微科技有限公司

    ShenZhen XuanXinWei Technoligy Co.,Ltd
    二極管、三極管、MOS管、橋堆

    全國服務熱線:18923864027

  • 熱門關鍵詞:
  • 橋堆
  • 場效應管
  • 三極管
  • 二極管
  • 電容與電感是怎樣改變電流相位的
    • 發布時間:2020-07-30 18:08:49
    • 來源:
    • 閱讀次數:
    電容與電感是怎樣改變電流相位的
    單單說說交變電流中的純電感電路,單單進行定性分析。
    首先說交變電流的純電阻電路
    下圖是一個純電感電路的圖示
    電容,電感
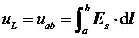
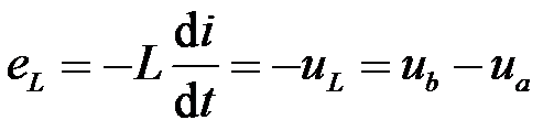
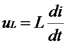
    可以看到右圖是端電壓與電感中電流的相位圖,可以看出是有相位差的。題主的問題就是為什么會有相位差。
    由高中學過的楞次定律可以知道,如果電流的改變導致磁場的改變,那么導線中會產生相應的電流阻礙這種改變。而交變電流中的電感元件實際上就是纏繞了很多圈的導線,比如密繞螺線管。實際上,導線中除了原有電動勢產生電場以外,額外產生了一個變化磁場產生的場。
    電感中的場:1)電源產生的似穩無旋電場Es;
    2)變化磁場(電流)產生的變化電場Ek 。
    歐姆定律的微分形式
    電容,電感
    導線中電流密度j有限 導線無電阻,即電導率無窮大(沒學過高數的同學可以理解為無窮大乘以無窮小可以為一個定值)
    電容,電感
    無旋電場產生的電壓
    電容,電感
    電容,電感
    電容,電感
    即有用的是
    電容,電感
    假設此時電路的電流為
    電容,電感
    則如果為純電阻電路,電壓則應該為
    電容,電感
    實際上是
    電容,電感
    可見電感的電壓電流同頻率,相位不同,電壓超前電流/2,或者說是改變了電壓/2的相位
    電容,電感
    以上相加均屬于簡諧量相加
    純電容電路可以類似證明,結果為
    假設電壓
    電容,電感
    電流為
    電容,電感
    即電流超前π/2
    電容,電感
    倘若要調整電壓或者電流的相位,則添加一定阻抗的電感或電容即可,例如下面一個例子。
    首先有個電壓方程
    電容,電感
    由上面得到的電感電容的UI矢量圖,可以合并有最終可以合并得到Um,可以看出與Im有一定的相位差
    電容,電感
    證明完畢
    烜芯微專業制造二極管,三極管,MOS管,橋堆等20年,工廠直銷省20%,4000家電路電器生產企業選用,專業的工程師幫您穩定好每一批產品,如果您有遇到什么需要幫助解決的,可以點擊右邊的工程師,或者點擊銷售經理給您精準的報價以及產品介紹
    相關閱讀