• <tr id="ii00i"></tr>
  • <nav id="ii00i"><sup id="ii00i"></sup></nav>
  • <nav id="ii00i"></nav>
  • <tfoot id="ii00i"><noscript id="ii00i"></noscript></tfoot>
    <tfoot id="ii00i"><noscript id="ii00i"></noscript></tfoot>
  • <tfoot id="ii00i"><noscript id="ii00i"></noscript></tfoot>
    天天成人综合网,亚洲人妻资源网,欧美精品网,国产黑丝袜在线观看视频,蜜桃av一卡二卡三卡,激情综合图区,亚洲avav,亚洲av电影天堂网

    您好!歡迎光臨烜芯微科技品牌官網!

    深圳市烜芯微科技有限公司

    ShenZhen XuanXinWei Technoligy Co.,Ltd
    二極管、三極管、MOS管、橋堆

    全國服務熱線:18923864027

  • 熱門關鍵詞:
  • 橋堆
  • 場效應管
  • 三極管
  • 二極管
  • 三極管基本共集放大電路圖解
    • 發布時間:2021-02-24 14:56:58
    • 來源:
    • 閱讀次數:
    三極管基本共集放大電路圖解
    一、電路組成
    電路如圖(a)所示,集電極作為共公端,由于輸出電壓從發射極獲得,故也稱共集放大電路為射極輸出器。其直流通路和交流通路如圖(b)和(c)所示。
    三極管
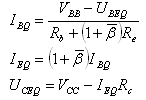
    二、靜態分析
    如圖(b)所示為直流通路,列出輸入回路的方程
    三極管
    便得到基極靜態電流IBQ、發射極靜態電流IEQ和管壓降UCEQ 
    三極管
    烜芯微專業制造二極管,三極管,MOS管,橋堆等,20年,工廠直銷省20%,1500家電路電器生產企業選用,專業的工程師幫您穩定好每一批產品,如果您有遇到什么需要幫助解決的,可以直接聯系上方的聯系號碼或加QQ,由我們的銷售經理給您精準的報價以及產品介紹
    相關閱讀