• <tr id="ii00i"></tr>
  • <nav id="ii00i"><sup id="ii00i"></sup></nav>
  • <nav id="ii00i"></nav>
  • <tfoot id="ii00i"><noscript id="ii00i"></noscript></tfoot>
    <tfoot id="ii00i"><noscript id="ii00i"></noscript></tfoot>
  • <tfoot id="ii00i"><noscript id="ii00i"></noscript></tfoot>
    天天成人综合网,亚洲人妻资源网,欧美精品网,国产黑丝袜在线观看视频,蜜桃av一卡二卡三卡,激情综合图区,亚洲avav,亚洲av电影天堂网

    您好!歡迎光臨烜芯微科技品牌官網!

    深圳市烜芯微科技有限公司

    ShenZhen XuanXinWei Technoligy Co.,Ltd
    二極管、三極管、MOS管、橋堆

    全國服務熱線:18923864027

  • 熱門關鍵詞:
  • 橋堆
  • 場效應管
  • 三極管
  • 二極管
  • 運算放大器計算公式-運算放大器基本公式圖解
    • 發布時間:2021-06-07 14:57:53
    • 來源:
    • 閱讀次數:
    運算放大器計算公式-運算放大器基本公式圖解
    運算放大器是一個內含多級放大電路的電子集成電路,其輸入級是差分放大電路,具有高輸入電阻和抑制零點漂移能力;中間級主要進行電壓放大,具有高電壓放大倍數,一般由共射極放大電路構成;輸出極與負載相連,具有帶載能力強、低輸出電阻特點。運算放大器的應用非常廣泛。
    運算放大器有兩個輸入端 a(反相輸入端),b(同相輸入端)和一個輸出端 o。也分別被稱為倒向輸入端非倒向輸入端和輸出端。當電壓 U- 加在 a 端和公共端(公共端是電壓為零的點,它相當于電路中的參考結點。)之間,且其實際方向從 a 端高于公共端時,輸出電壓 U 實際方向則自公共端指向 o 端,即兩者的方向正好相反。當輸入電壓 U+加在 b 端和公共端之間,U 與 U+兩者的實際方向相對公共端恰好相同。為了區別起見,a 端和 b 端分別用"-"和"+"號標出,但不要將它們誤認為電壓參考方向的正負極性。
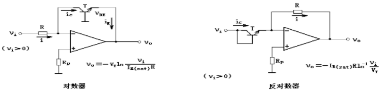
    以下為您列舉了常用的運算放大器電路圖及基本公式:
    運算放大器計算公式運算放大器計算公式運算放大器計算公式運算放大器計算公式運算放大器計算公式
    運算放大器計算公式運算放大器計算公式運算放大器計算公式運算放大器計算公式運算放大器計算公式
    烜芯微專業制造二極管,三極管,MOS管,橋堆等20年,工廠直銷省20%,4000家電路電器生產企業選用,專業的工程師幫您穩定好每一批產品,如果您有遇到什么需要幫助解決的,可以點擊右邊的工程師,或者點擊銷售經理給您精準的報價以及產品介紹
    相關閱讀