• <tr id="ii00i"></tr>
  • <nav id="ii00i"><sup id="ii00i"></sup></nav>
  • <nav id="ii00i"></nav>
  • <tfoot id="ii00i"><noscript id="ii00i"></noscript></tfoot>
    <tfoot id="ii00i"><noscript id="ii00i"></noscript></tfoot>
  • <tfoot id="ii00i"><noscript id="ii00i"></noscript></tfoot>
    天天成人综合网,亚洲人妻资源网,欧美精品网,国产黑丝袜在线观看视频,蜜桃av一卡二卡三卡,激情综合图区,亚洲avav,亚洲av电影天堂网

    您好!歡迎光臨烜芯微科技品牌官網!

    深圳市烜芯微科技有限公司

    ShenZhen XuanXinWei Technoligy Co.,Ltd
    二極管、三極管、MOS管、橋堆

    全國服務熱線:18923864027

  • 熱門關鍵詞:
  • 橋堆
  • 場效應管
  • 三極管
  • 二極管
  • 濾波器的分類與特點圖解
    • 發布時間:2022-02-12 17:44:45
    • 來源:
    • 閱讀次數:
    濾波器的分類與特點圖解
    濾波器是一種選頻裝置,可以使信號中特定的頻率成分通過,而極大地衰減其它頻率成分。在測試裝置中,利用濾波器的這種選頻作用,可以濾除干擾噪聲或進行頻譜分析。從廣義上講,任何一種信息傳輸的通道(媒質)都可視為是一種濾波器。那么濾波器的分類有哪些?它們的特點又是如何的?下面我們一起來看看:
    1.根據濾波器的選頻作用分類
    1.1低通濾波器
    從0~f2頻率之間,幅頻特性平直,它可以使信號中低于f2的頻率成分幾乎不受衰減地通過,而高于f2的頻率成分受到極大地衰減。
    濾波器
    低通濾波器
    1.2高通濾波器
    與低通濾波相反,從頻率f1~∞,其幅頻特性平直。它使信號中高于f1的頻率成分幾乎不受衰減地通過,而低于f1的頻率成分將受到極大地衰減。
    濾波器
    高通濾波器
    1.3帶通濾波器
    它的通頻帶在f1~f2之間。它使信號中高于f1而低于f2的頻率成分可以不受衰減地通過,而其它成分受到衰減。
    濾波器
    帶通濾波器
    1.4帶阻濾波器
    與帶通濾波相反,阻帶在頻率f1~f2之間。它使信號中高于f1而低于f2的頻率成分受到衰減,其余頻率成分的信號幾乎不受衰減地通過。
    濾波器
    帶阻濾波器
    低通濾波器和高通濾波器是濾波器的兩種最基本的形式,其它的濾波器都可以分解為這兩種類型的濾波器,例如:低通濾波器與高通濾波器的串聯為帶通濾波器,低通濾波器與高通濾波器的并聯為帶阻濾波器。
    濾波器
    低通濾波器與高通濾波器的串聯
    濾波器
    低通濾波器與高通濾波器的并聯
    2.根據“最佳逼近特性”標準分類
    2.1巴特沃斯濾波器
    濾波器
    巴特沃斯濾波器的幅頻特性圖
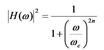
    從幅頻特性提出要求,而不考慮相頻特性。巴特沃斯濾波器具有最大平坦幅度特性,其幅頻響應表達式為:
    濾波器
    n為濾波器的階數;wc為濾波器的截止角頻率,
    當w=wc時,|H(wc)|2=1/2,所以,wc對應的是
    濾波器的-3db點。
    巴特沃思低通濾波器是以巴特沃思函數作為濾波器的傳遞函數H(s),以最高階泰勒級數的形式逼近濾波器的理想矩形特性。
    2.2切比雪夫濾波器
    濾波器
    切貝雪夫濾波器的幅頻特性圖
    切貝雪夫濾波器也是從幅頻特性方面提出逼近要求的,其幅頻響應表達式為:
    濾波器
    ε是決定通帶波紋大小的波動系數,0<ε<1,波紋的產生是由于實際濾波網絡中含有電抗元件;wc 是通帶截止頻率,Tn是n階切貝雪夫多項式。
    與巴特沃斯逼近特性相比較,這種特性雖然在通帶內有起伏,但對同樣的n值在進入阻帶以后衰減更陡峭,更接近理想情況。ε值越小,通帶起伏越小,截止頻率點衰減的分貝值也越小,但進入阻帶后衰減特性變化緩慢。切貝雪夫濾波器與巴特沃斯濾波器進行比較,切貝雪夫濾波器的通帶有波紋,過渡帶輕陡直,因此,在不允許通帶內有紋波的情況下,巴特沃斯型更可取;從相頻響應來看,巴特沃斯型要優于切貝雪夫型,通過上面二圖比較可以看出,前者的相頻響應更接近于直線。
    2.3貝塞爾濾波器
    只滿足相頻特性而不關心幅頻特性。貝塞爾濾波器又稱最平時延或恒時延濾波器。其相移和頻率成正比,即為一線性關系。但是由于它的幅頻特性欠佳,而往往限制了它的應用。
    濾波器
    貝塞爾濾波器的幅頻特性圖
    3.按所采用的元器件分類
    3.1無源濾波器
    無源濾波器僅由無源元件組成的濾波器,它是利用電容和電感元件的電抗隨頻率的變化而變化的原理構成的。
    這類濾波器的優點是:電路比較簡單,不需要直流電源供電,可靠性高;
    缺點是:通帶內的信號有能量損耗,負載效應比較明顯,使用電感元件時容易引起電磁感應,當電感L較大時濾波器的體積和重量都比較大,在低頻域不適用。
    濾波器
    無源濾波器
    3.2有源濾波器
    有源濾波器由無源元件和有源器件組成。
    這類濾波器的優點是:通帶內的信號不僅沒有能量損耗,而且還可以放大,負載效應不明顯,多級相聯時相互影響很小,利用級聯的簡單方法很容易構成高階濾波器,并且濾波器的體積小、重量輕、不需要磁屏蔽;
    缺點是:通帶范圍受有源器件的帶寬限制,需要直流電源供電,可靠性不如無源濾波器高,在高壓、高頻、大功率的場合不適用。
    濾波器
    有源濾波器
    4.按所處理的信號分為類
    4.1數字濾波器
    數字濾波器是由數字乘法器、加法器和延時單元組成的一種算法或裝置。數字濾波器的功能是對輸入離散信號的數字代碼進行運算處理,以達到改變信號頻譜的目的。主要特點:
    (1)對外界環境不太敏感,具有更高的可靠性。
    (2)可以實現精確的線性相位和多速率處理等模擬濾波器無法實現的功能。
    (3)只要提高字長,可以實現任意精度的信號處理。
    (4)實現更加靈活,并能同時進行信號的存儲。
    (5)數字處理的信號的頻域寬度要受到采樣率的限制。
    濾波器
    數字濾波器
    4.2模擬濾波器
    能對模擬或連續時間信號進行濾波的電路和器件。按工作頻率可分為集總常數和分布常數兩類;按濾波器中是否有有源器件,也可分為無源和有源兩類。與模擬濾波器相對應的是數字濾波器。
    模擬濾波器一般由硬件電路來實現,利用電容,電阻,電感等模擬器件搭建,處理的信號主要是頻域上連續的模擬信號,電路計算,測試,調試過程復雜。缺點是:模擬濾波器存在電壓漂移、溫度漂移和噪聲大問題。
    濾波器
    模擬濾波器
    本文總結了濾波器的分類以及各自的特點。如果使用一個現成的濾波器,可以調用過去積累的濾波器數據庫,比對濾波器參數,找到一個合適的濾波器。如果沒有合適的或者想專門設計一個專用濾波器,可以借助專用的濾波器設計軟件。
    〈烜芯微/XXW〉專業制造二極管,三極管,MOS管,橋堆等,20年,工廠直銷省20%,上萬家電路電器生產企業選用,專業的工程師幫您穩定好每一批產品,如果您有遇到什么需要幫助解決的,可以直接聯系下方的聯系號碼或加QQ/微信,由我們的銷售經理給您精準的報價以及產品介紹
     
    電話:18923864027(同微信)
    QQ:709211280

    相關閱讀