• <tr id="ii00i"></tr>
  • <nav id="ii00i"><sup id="ii00i"></sup></nav>
  • <nav id="ii00i"></nav>
  • <tfoot id="ii00i"><noscript id="ii00i"></noscript></tfoot>
    <tfoot id="ii00i"><noscript id="ii00i"></noscript></tfoot>
  • <tfoot id="ii00i"><noscript id="ii00i"></noscript></tfoot>
    天天成人综合网,亚洲人妻资源网,欧美精品网,国产黑丝袜在线观看视频,蜜桃av一卡二卡三卡,激情综合图区,亚洲avav,亚洲av电影天堂网

    您好!歡迎光臨烜芯微科技品牌官網!

    深圳市烜芯微科技有限公司

    ShenZhen XuanXinWei Technoligy Co.,Ltd
    二極管、三極管、MOS管、橋堆

    全國服務熱線:18923864027

  • 熱門關鍵詞:
  • 橋堆
  • 場效應管
  • 三極管
  • 二極管
  • 有刷電機驅動器的功耗計算方法介紹
    • 發布時間:2022-04-20 18:46:21
    • 來源:
    • 閱讀次數:
    有刷電機驅動器的功耗計算方法介紹
    討論:是否可以用下面的公式計算電機驅動器IC的功耗?
    (IC電路電流+流過電機的電流)×電源電壓
    乍一看貌似沒問題,但實際上是不正確的。“IC電路電流×電源電壓”雖然不錯,但“流過電機的電流×電源電壓”中卻含有電機的功耗,因此,正確的做法是應先求出電機驅動器IC的輸出功耗,再加上IC電路的功耗。
    輸出功耗通過“損耗電壓×輸出電流”來計算。便于理解,給出了線性穩壓器IC的功耗計算公式作為簡單示例。
    線性穩壓器IC的功耗=自身功耗(Vin×Iin)+輸入輸出電壓差(Vin-Vout)×輸出電流(IO)
    在該公式中,Iin是技術規格書中被稱為“Icc”或“Iq”等的電流,是從Vin引腳流到IC內部的輸出穩壓控制電路并被消耗的電流。下一項“輸入輸出電壓差×輸出電流”是輸出損耗(消耗)功率。
    例如,在運算放大器IC的輸出電流未達到毫安級別的情況下,即使通過“電源電壓×電源電流”來計算,也不會對其誤差產生很大的影響,但對于電源IC或電機驅動器IC這類需要供應較大輸出電流的IC來說,如果按照“電源電壓×輸出電流”來計算,則會產生很大誤差。
    這樣的說明雖然貌似有些繞彎,但是電機驅動器IC的功耗計算也是相同的思路。
    有刷電機驅動器的功耗計算方法
    下面將以有刷電機驅動器IC為例來說明功耗計算公式。有刷電機驅動器IC的典型驅動方法包括恒壓驅動和PWM驅動,因此先來介紹恒壓驅動。
    ①恒壓驅動時的功耗計算
    恒壓驅動的情況下,有刷電機驅動器IC的功耗Pc基本上可以通過以下公式求得:
    Pc=小信號部電路電流×電源電壓+流過電機的電流×(高邊輸出間的電壓+低邊輸出間的電壓)
    下圖是表示功耗發生在哪部分以及功耗的產生機制示意圖。
    有刷電機驅動器 功耗
    標為“小信號部”的部分是有刷電機驅動器IC的控制電路,設這部分的電路電流為Icc、電源電壓為Vcc、流過電機的電流為IO。此外,Q1~Q4的MOSFET在輸出段的H橋電路中。
    小信號部電路的功耗可以簡單地通過Icc×Vcc來計算。
    H橋部分是高邊Q1和低邊Q4導通,IO從Vcc經由Q1流向電機,并經由Q4流向GND。需要求此時的H橋的功耗(損耗)。
    MOSFET的導通狀態可以等效地視為電阻器,其阻值為MOSFET的導通電阻Ron。
    假設高邊Q1的導通電阻為RonH、低邊Q4的導通電阻為RonL,則各輸出之間的電壓可用以下公式來表示。
    高邊輸出間的電壓VH=IO×RonH
    低邊輸出間的電壓VL=IO×RonL
    由此,即可通過以下公式來計算功耗Pc。
    Pc=Icc×Vcc+Io×(VH+VL)=Icc×Vcc+IO2×(RonH+RonL)
    雖然測量實際VH和VL的方法很實用,但是由于MOSFET的Ron已在技術規格書中給出,因此使用最大值來計算即可預估最差的情況。
    ②PWM驅動時的功耗計算
    首先,請看PWM驅動時的工作等效電路及其工作電壓和電流波形。工作等效電路的左側是施加電壓時各MOSFET的狀態示例,右側是電流再生時各MOSFET的狀態示例(省略了不影響工作的MOSFET)。
    有刷電機驅動器 功耗
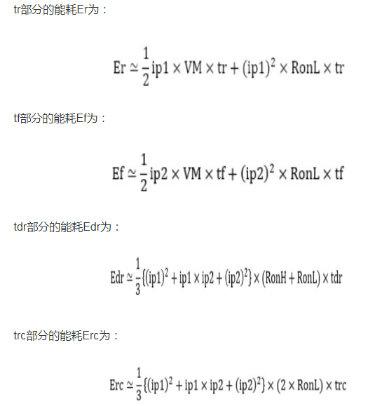
    對于輸出OUT1來說,一個PWM周期(tpwm)中的工作分為以下四個部分:
    tr:從低電平轉換為高電平的時間
    tdr:維持高電平并供給電流的時間
    tf:從高電平轉換為低電平的時間
    trc:維持低電平并再生電流的時間
    而對于輸出OUT2來說,則始終處于低電平工作狀態。
    為便于思考,假設在這些工作中當輸出從高電平轉換為低電平或從低電平轉換為高電平時的電壓變化是直線,而在此期間電流恒定不變。此外,設施加電壓時和電流再生時的電流變化也是直線(參見上圖中的波形)。
    電壓變化部分的能耗是電壓部分的時間函數與電流部分的時間函數的積在時間區間內的積分。電流變化部分的功耗是電流部分的時間函數的平方與總電阻的積在時間區間內的積分。
    有刷電機驅動器 功耗
    有刷電機驅動器 功耗
    也就是說,在一個PWM工作周期內,電流回路中驅動時段與再生時段的變化所產生的功耗,就是在這個周期內,驅動時段與再生時段各自的時間占比內功耗的和。
    有刷電機驅動器的PWM驅動施加的是脈沖而不是像有刷電機驅動器恒壓驅動那樣施加恒定電壓,因此有刷電機驅動器PWM驅動的計算公式有些復雜,希望能以此為例來理解其思路。
    〈烜芯微/XXW〉專業制造二極管,三極管,MOS管,橋堆等,20年,工廠直銷省20%,上萬家電路電器生產企業選用,專業的工程師幫您穩定好每一批產品,如果您有遇到什么需要幫助解決的,可以直接聯系下方的聯系號碼或加QQ/微信,由我們的銷售經理給您精準的報價以及產品介紹
     
    電話:18923864027(同微信)
    QQ:709211280

    相關閱讀