• <tr id="ii00i"></tr>
  • <nav id="ii00i"><sup id="ii00i"></sup></nav>
  • <nav id="ii00i"></nav>
  • <tfoot id="ii00i"><noscript id="ii00i"></noscript></tfoot>
    <tfoot id="ii00i"><noscript id="ii00i"></noscript></tfoot>
  • <tfoot id="ii00i"><noscript id="ii00i"></noscript></tfoot>
    天天成人综合网,亚洲人妻资源网,欧美精品网,国产黑丝袜在线观看视频,蜜桃av一卡二卡三卡,激情综合图区,亚洲avav,亚洲av电影天堂网

    您好!歡迎光臨烜芯微科技品牌官網!

    深圳市烜芯微科技有限公司

    ShenZhen XuanXinWei Technoligy Co.,Ltd
    二極管、三極管、MOS管、橋堆

    全國服務熱線:18923864027

  • 熱門關鍵詞:
  • 橋堆
  • 場效應管
  • 三極管
  • 二極管
  • 場效應管放大電路動態解析
    • 發布時間:2022-08-17 17:33:15
    • 來源:
    • 閱讀次數:
    場效應管放大電路動態解析
    1. 場效應管的微變等效電路
    場效應管是電壓控制型器件,其漏極電流i的大小是通過柵源電壓u進行控制的,其漏極輸出回路可等效為受控于輸入電壓 ugs 的恒流源 gm * ugs。
    由于在低頻段輸入電阻 rgs 和漏源電阻 rds 為高阻,可視為開路,故圖2.6.3(b)所示的電路可用圖2.6.3(c)所示的簡化等效電路來表示。
    場效應管 放大電路 動態
    2. 場效應管共源極放大電路分析
    場效應管 放大電路 動態
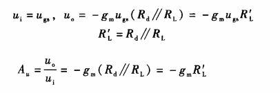
    1. 電壓放大倍數Au
    場效應管 放大電路 動態
    “-”號表示共源放大電路的輸出與輸入反相。
    2. 輸入電阻Ri
    電路的輸入電阻Ri為:
    場效應管 放大電路 動態
    3. 輸出電阻Ro
    場效應管 放大電路 動態
    經典例題:
    場效應管 放大電路 動態
    3. 場效應管共漏極放大電路分析
    場效應管 放大電路 動態
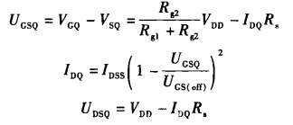
    1. 靜態分析
    畫出直流通路;聯立變量求解就行
    場效應管 放大電路 動態
    2. 動態分析
    場效應管 放大電路 動態
    〈烜芯微/XXW〉專業制造二極管,三極管,MOS管,橋堆等,20年,工廠直銷省20%,上萬家電路電器生產企業選用,專業的工程師幫您穩定好每一批產品,如果您有遇到什么需要幫助解決的,可以直接聯系下方的聯系號碼或加QQ/微信,由我們的銷售經理給您精準的報價以及產品介紹
     
    聯系號碼:18923864027(同微信)
    QQ:709211280
    相關閱讀