• <tr id="ii00i"></tr>
  • <nav id="ii00i"><sup id="ii00i"></sup></nav>
  • <nav id="ii00i"></nav>
  • <tfoot id="ii00i"><noscript id="ii00i"></noscript></tfoot>
    <tfoot id="ii00i"><noscript id="ii00i"></noscript></tfoot>
  • <tfoot id="ii00i"><noscript id="ii00i"></noscript></tfoot>
    天天成人综合网,亚洲人妻资源网,欧美精品网,国产黑丝袜在线观看视频,蜜桃av一卡二卡三卡,激情综合图区,亚洲avav,亚洲av电影天堂网

    您好!歡迎光臨烜芯微科技品牌官網!

    深圳市烜芯微科技有限公司

    ShenZhen XuanXinWei Technoligy Co.,Ltd
    二極管、三極管、MOS管、橋堆

    全國服務熱線:18923864027

  • 熱門關鍵詞:
  • 橋堆
  • 場效應管
  • 三極管
  • 二極管
  • MOSFET驅動參數,最小門極電阻計算介紹
    • 發布時間:2023-01-30 15:49:03
    • 來源:
    • 閱讀次數:
    MOSFET驅動參數,最小門極電阻計算介紹
    在《IGBT以及MOSFET的驅動參數的計算方法》該應用指南中由 Eq.6 得到了門極電流 i(t)i(t) 不振蕩的阻尼條件 Eq.7,并以此得出了電流波形不振蕩的最小門極電阻的計算公式。
    然而,該應用指南并未講述如何推導出 Eq.7,故寫此文列出推導過程,如下:
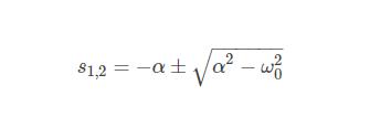
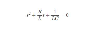
    由 Eq.6 可知串聯 RLC 電路的特征方程為:
    MOSFET 門極 電阻
    特征根為:
    MOSFET 門極 電阻
    奈培頻率為:
    MOSFET 門極 電阻
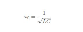
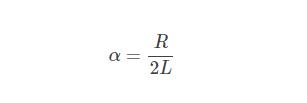
    諧振頻率為:
    MOSFET 門極 電阻
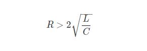
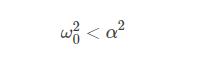
    為了保證門極電流 i(t) 不振蕩,則電流響應應為過阻尼,既有:
    MOSFET 門極 電阻
    綜上所述,可得:
    MOSFET 門極 電阻
    至此,Eq.7 得證。
    〈烜芯微/XXW〉專業制造二極管,三極管,MOS管,橋堆等,20年,工廠直銷省20%,上萬家電路電器生產企業選用,專業的工程師幫您穩定好每一批產品,如果您有遇到什么需要幫助解決的,可以直接聯系下方的聯系號碼或加QQ/微信,由我們的銷售經理給您精準的報價以及產品介紹
     
    聯系號碼:18923864027(同微信)
    QQ:709211280

    相關閱讀