• <tr id="ii00i"></tr>
  • <nav id="ii00i"><sup id="ii00i"></sup></nav>
  • <nav id="ii00i"></nav>
  • <tfoot id="ii00i"><noscript id="ii00i"></noscript></tfoot>
    <tfoot id="ii00i"><noscript id="ii00i"></noscript></tfoot>
  • <tfoot id="ii00i"><noscript id="ii00i"></noscript></tfoot>
    天天成人综合网,亚洲人妻资源网,欧美精品网,国产黑丝袜在线观看视频,蜜桃av一卡二卡三卡,激情综合图区,亚洲avav,亚洲av电影天堂网

    您好!歡迎光臨烜芯微科技品牌官網!

    深圳市烜芯微科技有限公司

    ShenZhen XuanXinWei Technoligy Co.,Ltd
    二極管、三極管、MOS管、橋堆

    全國服務熱線:18923864027

  • 熱門關鍵詞:
  • 橋堆
  • 場效應管
  • 三極管
  • 二極管
  • MOSFET的開關及其溫度特性介紹
    • 發布時間:2023-06-17 16:42:40
    • 來源:
    • 閱讀次數:
    MOSFET的開關及其溫度特性介紹
    關于MOSFET的開關時間
    柵極電壓ON/OFF之后,MOSFET才ON/OFF。這個延遲時間為開關時間。開關時間如表1所示種類,一般而言,規格書上記載td(on)/ tr/ td(off)/ tf。
    ROHM根據圖2電路的測定值決定規格書的typ.值。
    MOSFET 開關 溫度
    溫度特性
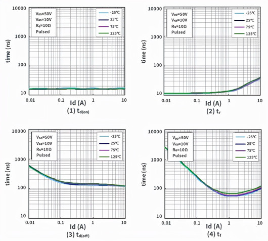
    實測例如圖3(1)~(4)所示。
    溫度上升的同時開關時間略微增加,但是100°C上升時增加10%成左右,幾乎沒有開關特性的溫度依存性。
    圖3: 開關溫度特性
    MOSFET 開關 溫度
    關于MOSFET的VGS(th)(界限値)
    關于MOSFET的VGS(th)
    MOSFET開啟時,GS (柵極、源極) 間需要的電壓稱為VGS(th)(界限值)。
    即輸入界限值以上的電壓時MOSFET為開啟狀態。
    那么MOSFET在開啟狀態時能通過多少A電流?針對每個元件,在規格書的電氣特性欄里分別有記載。
    表1為規格書的電氣特性欄示例。該情況下,輸入VDS=10V時,使1mA電流通過ID所需的柵極界限值電壓ID(th)為1.0V to 2.5V。
    表1: 規格書的電氣特性欄
    MOSFET 開關 溫度
    ID-VGS特性和溫度特性
    ID-VGS特性和界限值溫度特性的實測例如圖1、2所示。
    如圖1,為了通過絕大部分電流,需要比較大的柵極電壓。
    表1所記載的機型,其規格書上的界限值為2.5V以下,但是為4V驅動產品。
    使用時請輸入使其充分開啟的柵極電壓。
    如圖2,界限值隨溫度而下降。
    通過觀察界限值電壓變化,能夠計算元件的通道溫度。
    MOSFET 開關 溫度
    圖1: ID-VGS特性圖2: 界限值溫度特性
    〈烜芯微/XXW〉專業制造二極管,三極管,MOS管,橋堆等,20年,工廠直銷省20%,上萬家電路電器生產企業選用,專業的工程師幫您穩定好每一批產品,如果您有遇到什么需要幫助解決的,可以直接聯系下方的聯系號碼或加QQ/微信,由我們的銷售經理給您精準的報價以及產品介紹
     
    聯系號碼:18923864027(同微信)
    QQ:709211280

    相關閱讀