亞閾值斜率
亞閾值斜率S也稱亞閾值擺幅,其定義為亞閾值區漏端電流增加一個數量級所需要增大的柵電壓,反映了電流從關態到開態的轉換陡直度,具體對應于采用半對數坐標的器件轉移特性曲線(I-Vos關系)中亞閾值區線段斜率的倒數。






上圖為長溝道器件中亞閾值斜率與硅膜厚度的關系??梢?,當硅膜較厚時,器件處于部分耗盡模式,亞閾值斜率與體硅類似,而且隨著溝道摻雜濃度的增大而增大。
當硅膜較薄時,器件處于全耗盡模式,由于溝道區與襯底之間的隱埋氧化層隔離,亞閾值斜率接近理想情況(60mV/dec),而且溝道摻雜濃度的增大,亞閾值斜率減小,由于全耗盡器件的耗盡層寬度取決于硅膜厚度,亞閾值斜率對硅膜厚度不太敏感。
亞閾值擺幅是衡量晶體管開啟與關斷狀態之間相互轉換速率的性能指標。器件的亞閾特性決定了器件從關態到開態的轉換過程,會影響電路的靜態電流和轉換功耗,在電路應用中十分重要。
MOSFET的亞閾值特性
當MOSFET應用于數字邏輯電路和存儲電路時,器件的亞閾值行為就顯得特別重要。這是由于亞閾值區描述了器件如何導通和截止,亞閾值斜率s是其中的關鍵參數。
亞閾值斜率或亞閾擺幅(S,室溫下理想值為60mV/dec),它代表MOSFET在亞閾區工作時,輸出飽和電流減小10倍時所需要改變的柵-源電壓的大小, 也即ID-VG曲線斜率的倒數。
S值越小,器件的開關速度就越快。即S值的大小反映了MOSFET在亞閾區的開關性能。若想減小S值、提高MOSFET的亞閾區工作速度,可采取減小MOS柵極結構中界面態、降低襯底的摻雜濃度、加上一定的襯偏電壓(以減小耗盡層電容)以及限制器件溫升等措施。
MOS理想的電流-電壓特性中,當Vgs<閾值電壓Vt時,漏極電流Id為0。
但實際中,當Vgs<Vt時,MOS溝道表面處于弱反型,溝道中存在濃度較低的反型載流子,形成較小的電流,這就是亞閾值電流。
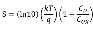
通常用亞閾值擺幅S(亞閾值斜率的倒數)來表征,物理意義是Id降低一個數量級所需改變的柵壓。
公式如下:


其中CD為溝道耗盡層電容,Cox為柵氧電容;亞閾值擺幅S主要取決于柵氧厚度和P阱濃度。
〈烜芯微/XXW〉專業制造二極管,三極管,MOS管,橋堆等,20年,工廠直銷省20%,上萬家電路電器生產企業選用,專業的工程師幫您穩定好每一批產品,如果您有遇到什么需要幫助解決的,可以直接聯系下方的聯系號碼或加QQ/微信,由我們的銷售經理給您精準的報價以及產品介紹
聯系號碼:18923864027(同微信)
QQ:709211280

