• <tr id="ii00i"></tr>
  • <nav id="ii00i"><sup id="ii00i"></sup></nav>
  • <nav id="ii00i"></nav>
  • <tfoot id="ii00i"><noscript id="ii00i"></noscript></tfoot>
    <tfoot id="ii00i"><noscript id="ii00i"></noscript></tfoot>
  • <tfoot id="ii00i"><noscript id="ii00i"></noscript></tfoot>
    天天成人综合网,亚洲人妻资源网,欧美精品网,国产黑丝袜在线观看视频,蜜桃av一卡二卡三卡,激情综合图区,亚洲avav,亚洲av电影天堂网

    您好!歡迎光臨烜芯微科技品牌官網!

    深圳市烜芯微科技有限公司

    ShenZhen XuanXinWei Technoligy Co.,Ltd
    二極管、三極管、MOS管、橋堆

    全國服務熱線:18923864027

  • 熱門關鍵詞:
  • 橋堆
  • 場效應管
  • 三極管
  • 二極管
  • NPN管的集電極電流的伏安特性與主要參數介紹
    • 發布時間:2024-10-10 19:54:54
    • 來源:
    • 閱讀次數:
    NPN管的集電極電流的伏安特性與主要參數介紹
    1、晶閘管(SCR)
    晶體閘流管簡稱晶閘管,也稱為可控硅整流元件(SCR),是由三個PN結構成的一種大功率半導體器件。在性能上,晶閘管不僅具有單向導電性,而且還具有比硅整流元件更為可貴的可控性,它只有導通和關斷兩種狀態。
    晶閘管的優點很多,例如:以小功率控制大功率,功率放大倍數高達幾十萬倍;反應極快,在微秒級內開通、關斷;無觸點運行,無火花、無噪聲;效率高,成本低等。因此,特別是在大功率UPS供電系統中,晶閘管在整流電路、靜態旁路開關、無觸點輸出開關等電路中得到廣泛的應用。
    晶閘管的弱點:靜態及動態的過載能力較差,容易受干擾而誤導通。
    晶閘管從外形上分類主要有:螺栓形、平板形和平底形。
    2、普通晶閘管的結構和工作原理
    晶閘管是PNPN四層三端器件,共有三個PN結。分析原理時,可以把它看作是由一個PNP管和一個NPN管所組成,其等效圖解如圖1(a)所示,圖1(b)為晶閘管的電路符號。
    NPN管集電極電流伏安特性
    圖1 晶閘管等效圖解圖
    2.1、晶閘管的工作過程
    晶閘管是四層三端器件,它有J1、J2、J3三個PN結,可以把它中間的NP分成兩部分,構成一個PNP型三極管和一個NPN型三極管的復合管。
    當晶閘管承受正向陽極電壓時,為使晶閘管導通,必須使承受反向電壓的PN結J2失去阻擋作用。每個晶體管的集電極電流同時就是另一個晶體管的基極電流。因此是兩個互相復合的晶體管電路,當有足夠的門極電流Ig流入時,就會形成強烈的正反饋,造成兩晶體管飽和導通。
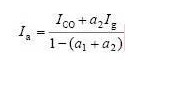
    設PNP管和NPN管的集電極電流分別為IC1和IC2,發射極電流相應為Ia和Ik,電流放大系數相應為α1=IC1/Ia和α2=IC2/Ik,設流過J2結的反相漏電流為ICO,晶閘管的陽極電流等于兩管的集電極電流和漏電流的總和:
    Ia=IC1+IC2+ICO
    =α1Ia+α2Ik+ICO (1)
    若門極電流為Ig,則晶閘管陰極電流為:Ik=Ia+Ig。
    因此,可以得出晶閘管陽極電流為:
    NPN管集電極電流伏安特性
    (2)
    硅PNP管和硅NPN管相應的電流放大系數α1和α2隨其發射極電流的改變而急劇變化。當晶閘管承受正向陽極電壓,而門極未接受電壓的情況下,式(1)中Ig=0,(α1+α2)很小,故晶閘管的陽極電流Ia≈ICO,晶閘管處于正向阻斷狀態;當晶閘管在正向門極電壓下,從門極G流入電流Ig,由于足夠大的Ig流經NPN管的發射結,從而提高放大系數α2,產生足夠大的集電極電流IC2流過PNP管的發射結,并提高了PNP管的電流放大系數α1,產生更大的集電極電流IC1流經NPN管的發射結,這樣強烈的正反饋過程迅速進行。
    當α1和α2隨發射極電流增加而使得(α1+α2)≈1時,式(1)中的分母1-(α1+α2)≈0,因此提高了晶閘管的陽極電流Ia。這時,流過晶閘管的電流完全由主回路的電壓和回路電阻決定,晶閘管已處于正向導通狀態。晶閘管導通后,式(1)中1-(α1+α2)≈0,即使此時門極電流Ig=0,晶閘管仍能保持原來的陽極電流Ia而繼續導通,門極已失去作用。在晶閘管導通后,如果不斷地減小電源電壓或增大回路電阻,使陽極電流Ia減小到維持電流IH以下時,由于α1和α2迅速下降,晶閘管恢復到阻斷狀態。
    2.2、晶閘管的工作條件
    由于晶閘管只有導通和關斷兩種工作狀態,所以它具有開關特性,這種特性需要一定的條件才能轉化,此條件見表1。
    表1 晶閘管導通和關斷條件
    (1)晶閘管承受反向陽極電壓時,無論門極承受何種電壓,晶閘管都處于關斷狀態。
    (2)晶閘管承受正向陽極電壓時,僅在門極承受正向電壓的情況下晶閘管才導通。
    (3)晶閘管在導通情況下,只要有一定的正向陽極電壓,無論門極電壓如何,晶閘管保持導通,即晶閘管導通后,門極失去作用。
    (4)晶閘管在導通情況下,當主回路電壓(或電流)減小到接近于零時,晶閘管關斷。
    3、晶閘管的伏安特性和主要參數
    3.1、晶閘管的伏安特性
    晶閘管陽極A與陰極K之間的電壓與晶閘管陽極電流之間關系稱為晶閘管伏安特性,如圖2所所示。正向特性位于第一象限,反向特性位于第三象限。
    圖2 晶閘管伏安特性參數示意圖
    (1) 反向特性
    當門極G開路,陽極加上反向電壓時(見圖3),J2結正偏,但J1、J2結反偏。此時只能流過很小的反向飽和電流,當電壓進一步提高到J1結的雪崩擊穿電壓后,同時J3結也擊穿,電流迅速增加,如圖2的特性曲線OR段開始彎曲,彎曲處的電壓URO稱為“反向轉折電壓”。此后,晶閘管會發生永久性反向擊穿。
    圖3 陽極加反向電壓
    NPN管集電極電流伏安特性
    圖4 陽極加正向電壓
    (2) 正向特性
    當門極G開路,陽極A加上正向電壓時(見圖4),J1、J3結正偏,但J2結反偏,這與普通PN結的反向特性相似,也只能流過很小電流,這叫正向阻斷狀態,當電壓增加,如圖2的特性曲線OA段開始彎曲,彎曲處的電壓UBO稱為“正向轉折電壓”。
    由于電壓升高到J2結的雪崩擊穿電壓后,J2結發生雪崩倍增效應,在結區產生大量的電子和空穴,電子進入N1區,空穴進入P2區。進入N1區的電子與由P1區通過J1結注入N1區的空穴復合。同樣,進入P2區的空穴與由N2區通過J3結注入P2區的電子復合,雪崩擊穿后,進入N1區的電子與進入P2區的空穴各自不能全部復合掉。這樣,在N1區就有電子積累,在P2區就有空穴積累,結果使P2區的電位升高,N1區的電位下降,J2結變成正偏,只要電流稍有增加,電壓便迅速下降,出現所謂負阻特性,見圖2中的虛線AB段。這時J1、J2、J3三個結均處于正偏,晶閘管便進入正向導電狀態——通態,此時,它的特性與普通的PN結正向特性相似,如圖2的BC段。
    (3) 觸發導通
    在門極G上加入正向電壓時(如圖5所示),因J3正偏,P2區的空穴進入N2區,N2區的電子進入P2區,形成觸發電流IGT。在晶閘管的內部正反饋作用(如圖2)的基礎上,加上IGT的作用,使晶閘管提前導通,導致圖2中的伏安特性OA段左移,IGT越大,特性左移越快。
    NPN管集電極電流伏安特性
    圖5 陽極和門極均加正向電壓
    3.2、晶閘管的主要參數
    (1)斷態重復峰值電壓UDRM
    門極開路,重復率為每秒50次,每次持續時間不大于10ms的斷態最大脈沖電壓,UDRM=90%UDSM,UDSM為斷態不重復峰值電壓。UDSM應比UBO小,所留的裕量由生產廠家決定。
    (2)反向重復峰值電壓URRM
    其定義同UDRM相似,URRM=90%URSM,URSM為反向不重復峰值電壓。
    (3)額定電壓
    選UDRM和URRM中較小的值作為額定電壓,選用時額定電壓應為正常工作峰值電壓的2~3倍,應能承受經常出現的過電壓。
    〈烜芯微/XXW〉專業制造二極管,三極管,MOS管,橋堆等,20年,工廠直銷省20%,上萬家電路電器生產企業選用,專業的工程師幫您穩定好每一批產品,如果您有遇到什么需要幫助解決的,可以直接聯系下方的聯系號碼或加QQ/微信,由我們的銷售經理給您精準的報價以及產品介紹
     
    聯系號碼:18923864027(同微信)
     
    QQ:709211280

    相關閱讀