• <tr id="ii00i"></tr>
  • <nav id="ii00i"><sup id="ii00i"></sup></nav>
  • <nav id="ii00i"></nav>
  • <tfoot id="ii00i"><noscript id="ii00i"></noscript></tfoot>
    <tfoot id="ii00i"><noscript id="ii00i"></noscript></tfoot>
  • <tfoot id="ii00i"><noscript id="ii00i"></noscript></tfoot>
    天天成人综合网,亚洲人妻资源网,欧美精品网,国产黑丝袜在线观看视频,蜜桃av一卡二卡三卡,激情综合图区,亚洲avav,亚洲av电影天堂网

    您好!歡迎光臨烜芯微科技品牌官網!

    深圳市烜芯微科技有限公司

    ShenZhen XuanXinWei Technoligy Co.,Ltd
    二極管、三極管、MOS管、橋堆

    全國服務熱線:18923864027

  • 熱門關鍵詞:
  • 橋堆
  • 場效應管
  • 三極管
  • 二極管
  • 怎么有效地檢測碳化硅(SiC)二極管
    • 發布時間:2020-12-25 17:12:29
    • 來源:
    • 閱讀次數:
    怎么有效地檢測碳化硅(SiC)二極管
    隨著寬禁帶半導體技術的日益普及,需要在高溫和苛刻的電流循環條件下,對二極管操作進行各種耐久性測試,以評估其性能。毫無疑問,功率電子器件作為基本元器件,將在未來幾年中持續發展。而新型碳化硅(SiC)半導體材料更是不負眾望,它比傳統硅材料導熱性更佳、開關速度更高,而且可以使器件尺寸做到更小。因此,碳化硅開關也成為設計人員的新寵。
    碳化硅二極管主要為肖特基二極管。第一款商用碳化硅肖特基二極管十多年前就已推出。從那時起,它就開始進入電源系統。二極管已經升級為碳化硅開關,如JFET、BJT和MOSFET。目前市場上已經可以提供擊穿電壓為600-1700 V、且額定電流為1 A-60 A的碳化硅開關。本文的重點是如何有效地檢測Sic MOSFET。
    檢測碳化硅(SiC)二極管
    圖1: 首款商用SiC MOSEFT-CMF20120D
    碳化硅二極管
    最初的二極管非常簡單,但隨著技術的發展,逐漸出現了升級的JFET、MOSFET和雙極晶體管。碳化硅肖特基二極管優勢明顯,它具有高開關性能、高效率和高功率密度等特性,而且系統成本較低。這些二極管具有零反向恢復時間、低正向壓降、電流穩定性、高抗浪涌電壓能力和正溫度系數。
    新型二極管適合各種應用中的功率變換器,包括光伏太陽能逆變器、電動車(EV)充電器、電源和汽車應用。與傳統硅材料相比,新型二極管具有更低的漏電流和更高的摻雜濃度。硅材料具有一個特性,就是隨著溫度的升高,其直接表征會發生很大變化。而碳化硅是一種非常堅固且可靠的材料,不過碳化硅仍局限于小尺寸應用。
    檢測碳化硅二極管
    本文要檢測的碳化硅二極管為羅姆半導體的SCS205KG型號,它是一種SiC肖特基勢壘二極管(圖2)。其主要特性如下:
    ˙反向電壓Vr:1200 V;
    ˙連續正向電流If:5 A(+ 150℃時);
    ˙浪涌非重復正向電流:23 A(PW = 10ms正弦曲線,Tj = + 25℃;
    ˙浪涌非重復正向電流:17 A(PW = 10ms正弦曲線,Tj= + 150℃);
    ˙浪涌非重復正向電流:80 A(PW = 10μs方波,Tj= + 25℃);
    ˙總功耗:88 W;
    ˙結溫:+ 175℃;
    ˙TO-220AC封裝。
    碳化硅(SiC)二極管
    圖2: 羅姆SCS205KG SiC二極管
    羅姆半導體公司的SCS205KG SiC二極管性能穩固,恢復時間短且切換速度快。其官方SPICE模型允許用戶在任何條件下對器件進行仿真。
    正向電壓
    首先,我們測量SiC二極管的正向電壓。圖3所示為一個簡單的測試電路及其三維示意圖,以及在不同的工作溫度下,器件數據手冊中有關正向電壓的相關數據摘錄。
    碳化硅(SiC)二極管
    圖3:SiC二極管的正向電壓測試原理圖
    測試接線圖中,肖特基SCS205KG SiC二極管與一個阻值約6.7歐姆的電阻串聯,以允許5 A的電流通過電路。其電源電壓設置為36V。為了更好地優化功耗和散熱性能,我們使用了十個并聯的67歐姆電阻,以模擬單個6.7 ohm電阻。每個電阻的功率必須至少為20W。肖特基二極管SCS205KG的數據手冊中明確了在各種工作溫度下器件兩端的電壓值:
    If=5A, Tj=+25℃: 1.4 V;
    If=5A, Tj=+150℃: 1.8 V;
    If=5A, Tj=+175℃: 1.9 V.
    這些數據說明了二極管兩端的電壓高度依賴于溫度。因此,設計人員必須盡可能地抑制這種電壓波動,以免影響最終的系統性能。我們使用如下的SPICE指令,在0℃至200℃的溫度范圍內進行直流掃描仿真,以測量功率二極管兩端的電壓:
    .DC temp 0 200 25
    仿真結果返回了在不同溫度下二極管上的電壓值,這些數據完全符合器件數據手冊中提供的指標。其中紅色框中包含了文檔中報告的測試溫度。
    碳化硅(SiC)二極管
    表1:溫度與測得電壓值.
    如圖4所示,隨著溫度的變化,綠色曲線表示二極管陽極上固定的36 V電壓,黃色曲線表示陰極上的電壓變化。其電位差構成了“正向電壓”。由于陽極和陰極的電壓之間存在代數差,從圖中可以觀察到器件上存在電位差。該測試必須在幾秒鐘內完成。
    碳化硅(SiC)二極管
    圖4:仿真在時域中測量SiC二極管的正向電壓
    電容電抗
    其次,我們測量SiC二極管的電容電抗。圖5所示為簡單的測試電路及其三維示意圖。
    碳化硅(SiC)二極管
    圖5:SiC二極管電容電抗測試示意圖
    在電路圖中,肖特基SiC二極管SCS205KG與一個阻值低至約0.1歐姆的電阻串聯。另有一個阻值很高的第二電阻與二極管并聯。電源電壓是設置為1 V的正弦波電源。我們可以執行如下的SPICE指令進行AC仿真,在200 MHz至2 MHz頻率范圍內,對功率二極管的電容電抗進行測量:
    .AC lin 1000 0.2Meg 2Meg
    仿真結果(參見圖6)顯示出在正弦波不同頻率下的不同電容電抗。
    碳化硅(SiC)二極管
    圖6:該仿真在頻域中測量SiC二極管的電容電抗。二極管表現為一個小型電容器,容值取決于所承受的頻率。
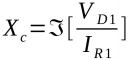
    如圖7所示,我們采用如下公式測量二極管的電容電抗。它發生在頻域中的AC。
    IM(V(n002)/I(R1))
    碳化硅(SiC)二極管
    圖7:二極管電容電抗的計算公式
    二極管可以用電容器代替,以便用真實器件來執行另一個仿真。
    反向電流
    第三個要測量的是SiC二極管的反向電流。圖8所示為一個簡單的測試電路及其三維示意圖,以及在不同的工作溫度下,器件數據手冊中有關反向電流的相關數據摘錄。
    碳化硅(SiC)二極管
    圖8:SiC二極管反向電流的測試示意圖
    電路圖(圖8)中,肖特基SiC二極管SCS205KG與一個阻值低至約0.1歐姆的電阻串聯。電源電壓是設置為1200 V的正弦波電源。二極管以反向模式連接。我們采用如下SPICE指令,執行DC仿真(掃頻),測試在+ 20℃至+ 200℃的溫度范圍內流過二極管的反向電流。
    .DC TEMP 20 200 1
    如圖9所示,隨溫度變化,二極管上只有很少的反向電流經過。
    碳化硅(SiC)二極管
    圖9:該仿真測試了SiC二極管兩端的反向電流在溫度域的變化情況
    圖10(電壓V與電流I)顯示了在+ 25℃的恒定溫度下,當施加到二極管的電壓在0 V至1200 V之間變化時,反向電流的變化曲線。
    碳化硅(SiC)二極管
    圖10:在25℃溫度下,反向電流與施加到二極管上的電壓關系圖。
    結論
    碳化硅二極管具有非??焖俚幕謴蜁r間,這可提高開關速率,并減小磁性元件和其它無源元件的尺寸,從而使最終產品具有更高的功率密度。對于電源開關應用,碳化硅二極管在效率和熱性能方面也具備顯著的優勢。這種器件可以在更高的溫度下運行,而溫度是改變電子器件工作條件的重要因素。如果采用真正的SiC器件進行真實測試與仿真會更加有趣,這樣可以評估仿真器以及SPICE模型的功效和實用性。
    烜芯微專業制造二極管,三極管,MOS管,橋堆等20年,工廠直銷省20%,4000家電路電器生產企業選用,專業的工程師幫您穩定好每一批產品,如果您有遇到什么需要幫助解決的,可以點擊右邊的工程師,或者點擊銷售經理給您精準的報價以及產品介紹
    相關閱讀