• <tr id="ii00i"></tr>
  • <nav id="ii00i"><sup id="ii00i"></sup></nav>
  • <nav id="ii00i"></nav>
  • <tfoot id="ii00i"><noscript id="ii00i"></noscript></tfoot>
    <tfoot id="ii00i"><noscript id="ii00i"></noscript></tfoot>
  • <tfoot id="ii00i"><noscript id="ii00i"></noscript></tfoot>
    天天成人综合网,亚洲人妻资源网,欧美精品网,国产黑丝袜在线观看视频,蜜桃av一卡二卡三卡,激情综合图区,亚洲avav,亚洲av电影天堂网

    您好!歡迎光臨烜芯微科技品牌官網!

    深圳市烜芯微科技有限公司

    ShenZhen XuanXinWei Technoligy Co.,Ltd
    二極管、三極管、MOS管、橋堆

    全國服務熱線:18923864027

  • 熱門關鍵詞:
  • 橋堆
  • 場效應管
  • 三極管
  • 二極管
  • 熱敏電阻測溫電路,NTC測溫電路介紹
    • 發布時間:2025-06-17 16:13:37
    • 來源:
    • 閱讀次數:
    熱敏電阻測溫電路,NTC測溫電路介紹
    基于熱敏電阻的測溫技術
    在測溫領域,NTC熱敏電阻器,即負溫度系數熱敏電阻器,憑借其獨特的特性發揮著重要作用。其顯著特點為電阻值會隨著溫度的上升而迅速下降,這一特性使其成為測量溫度的關鍵元件。
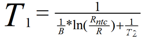
    溫度計算的核心公式如下:
    熱敏電阻測溫電路
    其中,T1和T2分別表示開爾文溫度,開爾文溫度與攝氏度的換算關系為:開氏度=攝氏度+273.15。
    Rntc代表熱敏電阻在溫度T1下的阻值。
    R是熱敏電阻在常溫T2下的標稱阻值,例如,50K的熱敏電阻在25℃時的阻值為50K,此時對應的T2為273.15+25。
    B則是熱敏電阻的固有參數,此處取值為3950K。
    通過上述公式轉換后可得T1的值:
    熱敏電阻測溫電路
    需要注意的是,計算得出的溫度為開爾文溫度,若需將其轉換為攝氏度,只需減去273.15即可。
    以下是NTC熱敏電阻測溫電路圖中的典型微控制器保護電路:
    熱敏電阻測溫電路
    在一些對溫度敏感的應用場景,如快速充電過程中,為了防止因環境與電池之間的溫差過大而引發問題,有必要測量環境溫度。為此,可將第二個NTC熱敏電阻直接放置在充電電路板上。
    熱敏電阻測溫電路
    〈烜芯微/XXW〉專業制造二極管,三極管,MOS管,橋堆等,20年,工廠直銷省20%,上萬家電路電器生產企業選用,專業的工程師幫您穩定好每一批產品,如果您有遇到什么需要幫助解決的,可以直接聯系下方的聯系號碼或加QQ/微信,由我們的銷售經理給您精準的報價以及產品介紹
    聯系號碼:18923864027(同微信)
     
    QQ:709211280
    相關閱讀