• <tr id="ii00i"></tr>
  • <nav id="ii00i"><sup id="ii00i"></sup></nav>
  • <nav id="ii00i"></nav>
  • <tfoot id="ii00i"><noscript id="ii00i"></noscript></tfoot>
    <tfoot id="ii00i"><noscript id="ii00i"></noscript></tfoot>
  • <tfoot id="ii00i"><noscript id="ii00i"></noscript></tfoot>
    天天成人综合网,亚洲人妻资源网,欧美精品网,国产黑丝袜在线观看视频,蜜桃av一卡二卡三卡,激情综合图区,亚洲avav,亚洲av电影天堂网

    您好!歡迎光臨烜芯微科技品牌官網!

    深圳市烜芯微科技有限公司

    ShenZhen XuanXinWei Technoligy Co.,Ltd
    二極管、三極管、MOS管、橋堆

    全國服務熱線:18923864027

  • 熱門關鍵詞:
  • 橋堆
  • 場效應管
  • 三極管
  • 二極管
  • RC正弦波振蕩器的組成,工作原理介紹
    • 發布時間:2025-07-23 19:49:23
    • 來源:
    • 閱讀次數:
    RC正弦波振蕩器的組成,工作原理介紹
    一、RC 正弦波振蕩器概述
    RC 正弦波振蕩器作為一種常見的電子振蕩電路,巧妙地借助電阻(R)與電容(C)元件的相移特性來產生振蕩信號。在信號傳輸過程中,電容器的電流相較于電壓超前 90°,而電阻的電壓與電流則保持同相位。當多個 RC 網絡串聯時,能夠在輸出與輸入之間形成 180° 的相位差,進而構建起正反饋機制,驅動電路持續振蕩,為電子系統提供穩定的信號源。
    二、RC 正弦波振蕩器的關鍵組成部分
    放大器 :作為信號放大的核心部件,運算放大器常被應用于 RC 正弦波振蕩器中。例如,LM124 或 LM324 等型號的運算放大器憑借其優異的性能,能夠有效地對微弱的振蕩信號進行放大,確保信號具備足夠的幅度以滿足電路的正常運行需求。
    反饋網絡 :反饋網絡堪稱 RC 振蕩器的 “心臟”,主要由多個 RC 級構成。每個 RC 級能夠提供一定的相位偏移,當多個 RC 級串聯時,可累積產生出振蕩所需的 180° 相移,從而實現自激振蕩。該網絡不僅決定了信號的相位關系,還對振蕩頻率的穩定性產生關鍵影響。
    RC正弦波振蕩器
    選頻網絡 :選頻網絡的作用在于精準地選擇振蕩器的工作頻率。在 RC 振蕩器架構中,通過合理配置電阻和電容的參數,便能構建出具有特定頻率特性的選頻網絡。它如同一個 “頻率守門員”,只允許特定頻率的信號順利通過并維持振蕩,而濾除其他非期望頻率的信號,保障振蕩器的單一頻率穩定輸出。
    穩幅環節 :為了維持振蕩幅度的穩定,防止因外界干擾或電路元件參數波動導致振幅過大或過小,RC 正弦波振蕩器必須配備穩幅環節。通過采用諸如二極管限幅、熱敏電阻等穩幅措施,能夠自動調節振蕩幅度,確保振蕩信號在穩定可靠的幅度范圍內持續輸出,為后續電路或負載提供穩定的信號源。
    三、RC 正弦波振蕩器工作原理
    RC 振蕩器的工作原理基于 RC 網絡所提供的關鍵相移特性。具體而言,RC 網絡能夠為響應信號引入相移,而這一相移是實現振蕩的必備條件。
    RC 振蕩器以其出色的頻率穩定性而著稱,能夠為各類負載輸出高純度的正弦波信號。在單個電阻電容網絡中,輸出電壓會相對于輸入電壓超前一定角度(小于 90°)。而在理想的單極 RC 網絡中,理論上可產生最大 90° 的相移。然而,由于振蕩發生需要 180° 的相移,因此在 RC 振蕩器的實際設計中,至少需要運用兩個單極網絡來協同實現這一目標。
    RC正弦波振蕩器
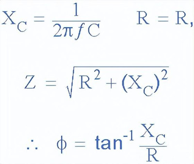
    在實際電路中,由于每個 RC 級較難精準地實現 90° 相移,因此需要采用更多級聯的 RC 級來獲取所需的振蕩頻率。電路中實際相移量的大小取決于電阻(R)和電容(C)的參數值。在選定的振蕩頻率下,相位角(φ)可通過以下公式進行計算:
    2、RC 相位角
    RC正弦波振蕩器
    其中,XC 為電容的容抗,R 為電阻的阻值,而 f 為信號的頻率。
    如果三級 RC 相移網絡作為反饋網絡連接在放大器電路的輸出和輸入之間,則產生所需再生反饋的總相移為:3 x 60 °+ 180 °= 360 ° = 0 °。如下圖所示。
    RC正弦波振蕩器
    三個 RC 級級聯在一起以獲得穩定振蕩頻率所需的斜率。當每級相移為-60°時,反饋回路相移為-180 °。這發生在jω = 2pi? = 1/1.732RC為 ( tan 60 °= 1.732 ) 時。
    然后,要在 RC 振蕩器電路中實現所需的相移,就要使用多個 RC 相移網絡。
    〈烜芯微/XXW〉專業制造二極管,三極管,MOS管,橋堆等,20年,工廠直銷省20%,上萬家電路電器生產企業選用,專業的工程師幫您穩定好每一批產品,如果您有遇到什么需要幫助解決的,可以直接聯系下方的聯系號碼或加QQ/微信,由我們的銷售經理給您精準的報價以及產品介紹
    聯系號碼:18923864027(同微信)
     
    QQ:709211280
    相關閱讀